Sakura Digital Pocket Guide
Pricing
Price List
Freight and Handling
Service Contract Pricing
ACNF
2026 Product Catalog
Re:Lion AI
TS and Support Directory
Ami Grimes
Amy Chavez
Chris Curry
Christopher Beard
Claudia Duff
David Camacho
David Rieng
Elena Lopez
Francisco Ochoa-Torres
Franklin Alvarado
Gifti Diriba
Glenn Speaker
Jason Drake
Jeff Villwock
Jerry Anderson
Jesse Gonzalez
John Stedman
Kevin Sweeney
Mariam Jilani
Mark Fussner
Matt Townsend
Pat Reeves
Patrick Dooley
Rommel Samelin
Ross Arrowood
Sarah Mack
Scott McGrath
Sheila Tapper
John Prichard
Sue Cherry
Sunny Hong
Taylor Herzog
Timothy Mickiewicz
Tom Takatori
Tony Delmage
Amelia Kelson
Marketing Directory
Adam Hammer
Ashley Slomsky
Bill Jennings
Brad Crockett
Erico von Bueren
Joshua Greenlee
Tamara Bakhia
Tonia Crook B.S. B.A. HT (ASCP)
Marketing Team Responsibilities
Matthew Lunetta
Sales Directory
Aimee Ray - S8
Alaina Souza - W2
Anabel Porter - W3
Andy Leventis - E5
Angela Rekowski - W7
Arfilio Martinez - Latin Am.
Bob Connolly - E6
Ian Thrasher - I2 - South West Region
Brian Fingleton - West Region
Chris Lapuz - I5
Gerard Cabrera - I4
Dave Chiasson - IHC National Manager
David Groux - S7
Denis Ionita - National Acct.
Domenica Guy - East Region
Erik Pokki - Sales Ops.
Erin Ferguson - E2
Greg Goodwin - S5
Heather Cammack - W1
Howard Gray - E8
Jason Lela - E3
Jeff DePinto - E1
Jeff Zeller - E4
Kate Coldren - S1
Kevin Kirwan - W4
Leo Pimentel - S3
Louis Perez - S6
Mario Leonlongato - I1
Matt Browning - I3
Michale Holznagel
Michelle Bugg - W8
Molly Forman - E7
Owen Kling - East Regional Manager
Nick Carpenter - S4
BJ Hollis - W5
Sharon Wehman - S2
Steve Martocello - W6
Susan Campbell - E9
OPEN - W9
Tony Banzer - Director of Sales
Distributor and Partner Rosters
Distributor and Partner Rosters
Product Launches
Block Filing Cabinet 2400
Sakura Top 50 Videos
Sales Tools
Sales Tools
Picasso Plus Pre-Demo
Others
Pricing
2026 Product Catalog
Re:Lion AI
TS and Support Directory
Marketing Directory
Sales Directory
Distributor and Partner Rosters
Product Launches
Sakura Top 50 Videos
Sales Tools
Get Started
Login
Enable Location Services
No Data Found
Others
Sakura Digital Pocket Guide
Pocket Guide
Login
Pricing
Price List
Freight and Handling
Service Contract Pricing
ACNF
2026 Product Catalog
Re:Lion AI
TS and Support Directory
Ami Grimes
Amy Chavez
Chris Curry
Christopher Beard
Claudia Duff
David Camacho
David Rieng
Elena Lopez
Francisco Ochoa-Torres
Franklin Alvarado
Gifti Diriba
Glenn Speaker
Jason Drake
Jeff Villwock
Jerry Anderson
Jesse Gonzalez
John Stedman
Kevin Sweeney
Mariam Jilani
Mark Fussner
Matt Townsend
Pat Reeves
Patrick Dooley
Rommel Samelin
Ross Arrowood
Sarah Mack
Scott McGrath
Sheila Tapper
John Prichard
Sue Cherry
Sunny Hong
Taylor Herzog
Timothy Mickiewicz
Tom Takatori
Tony Delmage
Amelia Kelson
Marketing Directory
Adam Hammer
Ashley Slomsky
Bill Jennings
Brad Crockett
Erico von Bueren
Joshua Greenlee
Tamara Bakhia
Tonia Crook B.S. B.A. HT (ASCP)
Marketing Team Responsibilities
Matthew Lunetta
Sales Directory
Aimee Ray - S8
Alaina Souza - W2
Anabel Porter - W3
Andy Leventis - E5
Angela Rekowski - W7
Arfilio Martinez - Latin Am.
Bob Connolly - E6
Ian Thrasher - I2 - South West Region
Brian Fingleton - West Region
Chris Lapuz - I5
Gerard Cabrera - I4
Dave Chiasson - IHC National Manager
David Groux - S7
Denis Ionita - National Acct.
Domenica Guy - East Region
Erik Pokki - Sales Ops.
Erin Ferguson - E2
Greg Goodwin - S5
Heather Cammack - W1
Howard Gray - E8
Jason Lela - E3
Jeff DePinto - E1
Jeff Zeller - E4
Kate Coldren - S1
Kevin Kirwan - W4
Leo Pimentel - S3
Louis Perez - S6
Mario Leonlongato - I1
Matt Browning - I3
Michale Holznagel
Michelle Bugg - W8
Molly Forman - E7
Owen Kling - East Regional Manager
Nick Carpenter - S4
BJ Hollis - W5
Sharon Wehman - S2
Steve Martocello - W6
Susan Campbell - E9
OPEN - W9
Tony Banzer - Director of Sales
Distributor and Partner Rosters
Distributor and Partner Rosters
Product Launches
Block Filing Cabinet 2400
Sakura Top 50 Videos
Sales Tools
Sales Tools
Picasso Plus Pre-Demo
Others
Pricing
2026 Product Catalog
Re:Lion AI
TS and Support Directory
Marketing Directory
Sales Directory
Distributor and Partner Rosters
Product Launches
Sakura Top 50 Videos
Sales Tools
Get Started
Aldehyde Control
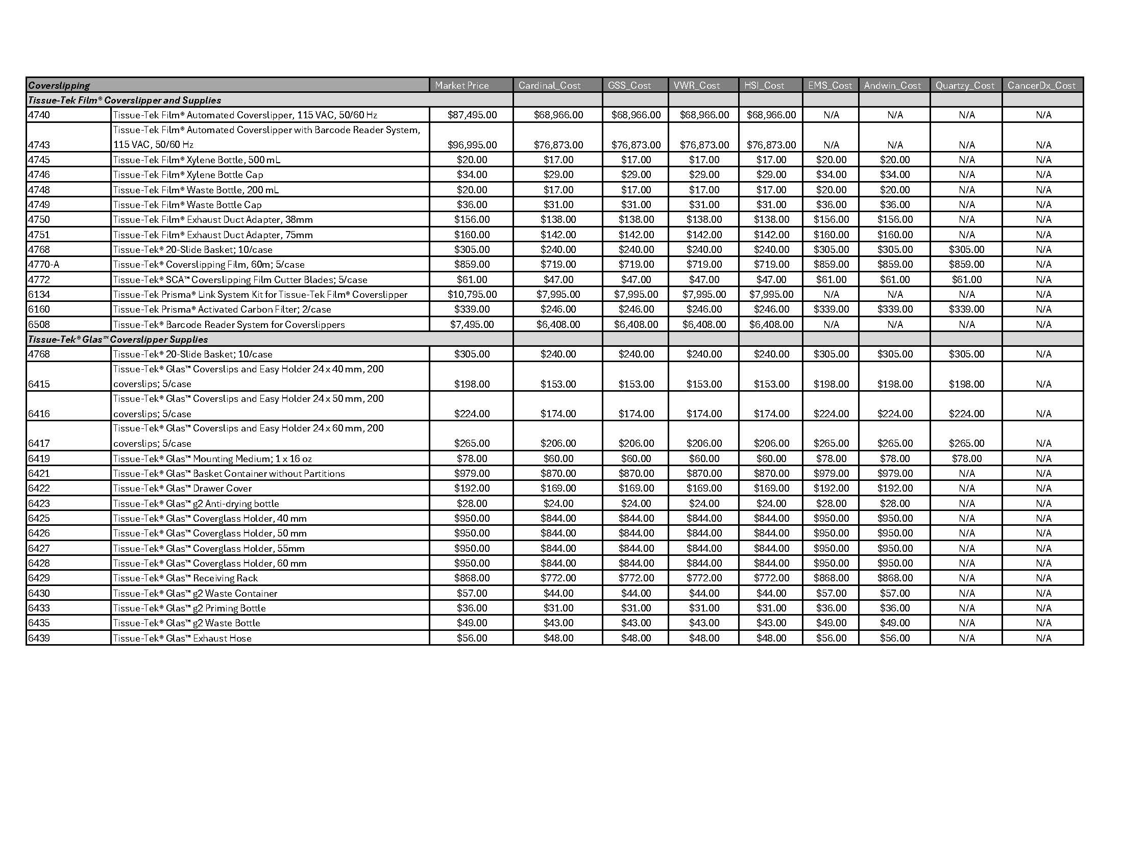
Coverslipping
Cryotomy
Cytology
Embedding
More
Coverslipping
Cryotomy
Cytology
Embedding
Grossing and Trimming
Immunostaining
Microtomy
Printing
Processing
Specimen Imaging
Staining
Tracking
Coverslipping
Home
Pricing
Price List
2026 Price List Images
Coverslipping
Coverslipping
2 Photos
Coverslipping-Page-2
Coverslipping-Page-1